Introduction
Wheezing is the most common respiratory symptom in infants. It is characterized by the narrowing of the airways and hyper-responsiveness, thus resulting in difficult breathing. It has a long-term impact on the airway due to inflammation, and contributes to higher morbidity in infants than for any other age group [1]. Complex interactions between airway microbes, environmental triggers, and innate immune responses play an important role in the pathogenesis of wheezing [1, 2]. Epidemiological studies have demonstrated that the etiology of recurrent wheezing includes allergies and infections while infants attend daycare, respiratory tract infections, and early wheezing [3]. Specifically, recurrent wheezing has been shown to increase the risk of asthma development at later stages, when more than half of all children show persistent asthma symptoms before the age of 3 [4]. Surprisingly, the systematic understanding of recurrent wheezing in infants remains poorly understood.
Th9 cells, which are characterized as the interleukin (IL)-9-CD4+ T cell subset, are believed to be critical for developing allergic reactions and initiating airway inflammation. In a mouse model, the transfer of antigen-specific Th9 cells has resulted in asthma-associated airway inflammation. In addition, it has been shown that PU.1 and interferon-regulatory factor 4 (IRF4) are the key transcription factors, through which Th9 cells regulate IL-9 production [5]. Atopic infants have the predisposition to develop IL-9-secreting T cells [6]. Children allergic to peanuts also display increased levels of Th9 cells and IL-9 [7]. Furthermore, Th9 cell proportions have also been observed to be significantly elevated in the peripheral blood of adults with allergic asthma, and have been shown to play a key role in allergen-induced airway inflammation [8, 9].
Similarly, various cytokines have been demonstrated to be critical for allergic airway inflammation and Th cell differentiation. Atopic infants demonstrate significantly higher levels of IL-9 in the serum than non-atopic infants [10]. With respect to Th cell differentiation, cytokine IL-4 stimulation results in Th2 cell polarization, while transforming growth factor β (TGF-β) contributes to inducible regulatory T cell differentiation [11]. However, the presence of both TGF-β and IL-4 initiates CD4+ T cell differentiation into Th9 cells [12]. Additionally, IL-1 and IL-33 stimulation has been linked with the induction of Th9 cell differentiation via nuclear factor κB activation [13, 14]. Despite the detailed understanding of Th9 cells and the related cytokines in adult asthma, very little information is available about their role in recurrent wheezing in infants.
Thus, to better understand the contribution of Th9 cells in the pathogenesis of recurrent wheezing in infants, we assessed the population of Th9 cells in their peripheral blood along with that in healthy age-matched controls. In addition, we measured the plasma concentrations of Th1 cytokines IL-1β, IL-6, IL-9, IL-10, IL-17, and IL-33 and TGF-β1 as well as the Th2-cytokines IL-4, IL-5, and IL-13. Furthermore, we analyzed the correlation between cytokine levels and the Th9 cell population, with the aim to provide a foundation for future work to better understand immune regulation and the pathogenesis of wheezing in infants.
Material and methods
Study participants
The current study was approved (EC/2015/004) by the ethics committee of Binhai Hospital, and written informed consents were obtained from all parents/guardians of the infants. All infants were hospitalized at the Department of Pediatrics of Binhai County Hospital (Yanchen, Jiangsu Province, China) between November 2015 and March 2016.
This case-control study included 34 newly diagnosed infants with recurrent wheezing (age range, 6 to 36 months) and 34 age-matched healthy controls. Inclusion criteria included patients aged between 6 months and 3-years-old with two or more recurrent hospitalizations due to wheezing. The respiratory symptoms included wheezing and coughing, followed by tachypnea, rales, and the use of accessory muscles. However, infants with pneumonia on immune-suppressing medication, or having any immune system disorder were excluded from this study. Any treatment for wheezing was suspended for 1 month before entering into this study. Importantly, the participants in the control group were negative for atopy, and had no asthma or rhinitis symptoms. There were no statistically significant differences in the ages between the two groups. The demographic, clinical, and atopic characteristics of the participants are presented in Table 1.
Table 1
Clinical characteristics of wheezing infants and healthy controls
| Characteristic | Wheezing infants | Controls |
|---|---|---|
| Age, years | 1.5 ±0.6 | 1.6 ±0.6 |
| Gender, F/M | 10/24 | 11/23 |
| Serum total IgE, ng/ml | 275.4 ±97.2 * | 124.6 ±35.2 |
| Lymphocytes, % | 62.33 ±7.21 | 63.01 ±7.73 |
| Lymphocytes, ×109/l | 5.27 ±1.22 | 5.18 ±1.42 |
| Eosinophils, % | 3.16 ±0.87 * | 2.01 ±0.68 |
| Eosinophils, ×109/l | 0.30 ±0.13 * | 0.18 ±0.07 |
Blood sample preparation
A 5 ml sample of peripheral blood was collected from each participant in a heparin-coated tube. A 500 µl aliquot of each sample was used for the flow cytometric analysis of Th9 cells within 24 h; a 1.5 ml volume was used for the preparation of plasma for cytokine analysis, and the remaining 3 ml volume was used for the isolation of peripheral blood mononuclear cells (PBMCs).
Flow cytometric detection of Th9 cells in the peripheral blood
For Th9 cell detection, peripheral blood samples(100 µl) were activated with phorbol 12-myristate 13-acetate (50 ng/ml) and ionomycin (1 µg/ml) in the presence of 1 µg/ml brefeldin (Sigma, St. Louis, MO, USA) for 4 h at 37°C. Subsequently, the cells were stained with fluorescein isothiocyanate-conjugated anti-CD3 and phycoerythrin (PE)-conjugated anti-CD4 monoclonal antibodies (BD Biosciences, San Jose, CA, USA). After the lysis of red blood cells, they were fixed and permeabilized by adding fixation and permeabilization buffers, respectively (BD Biosciences, San Jose, CA, USA). Next, the cells were labeled with peridinin chlorophyll-Cy5.5-labeled anti-IL-9, APC-anti-IL-4 antibody, and PE-Cy7-labeled anti-IL-17 antibodies (BD Biosciences, San Jose, CA, USA) for30 min. Finally, the cells were suspended in 200 µl of phosphate-buffered saline and immediately analyzed by flow cytometry (Becton Dickinson, San Diego, CA, USA). Among the CD4+ T cells, the Th9 cell population displayed a phenotype of CD4+IL-9+IL-4-IL-17-.
RNA isolation and reverse transcription-polymerase chain reaction analysis
PBMCs were purified from the blood samples using the Ficoll-Hypaque method (Hengxin, Shanghai, China), and total RNA was extracted from them using TRIzol reagent (Invitrogen, Carlsbad, CA, USA). cDNA synthesis and amplification were performed using cDNA reverse transcription kit and QuantiTect SYBR Green PCR kit (Invitrogen, Carlsbad, CA, USA), respectively. The following primer sequences were designed: PU.1 sense: 5’-TGAGAAGGACAGGGAGCCAA-3’, and antisense: 5’-GAGAAGCTGAGTGCCATGCA-3’; IRF4 sense: 5’-GAAGCCTTGGCGTTCTCA GAC-3’, and antisense: 5’-CGTATGTCCATGGGAGATCCG-3’; β-actin, sense: 5’-TGGCACCCAGCACAATGAA-3’, and antisense: 5’-CTAAGTCATA GTCCGCCTAGAAGCA-3’. Reactions were run on a thermal cycler as follows: 1 min at 95°C, followed by 40 cycles at 95°C for 15 s and 60°C for 1 min. Reverse transcription-polymerase chain reactions (RT-PCR) were performed using the 7500 PCR system (Applied Biosystems, USA). Relative mRNA levels of PU.1 and IRF4 were calculated by the 2-ΔΔCt method.
Cytokine analysis
Plasma separated from the peripheral blood was immediately stored at –80°C until cytokine analysis. The detection of cytokines IL-1β, IL-6, IL-10, IL-17A, and IL-33 and TGF-β1 was performed following the manufacturer’s protocol (Bio-Rad Laboratories, Hercules, CA, USA). Their concentrations were determined using Luminex 200 (Luminex Corporation, Austin, TX, USA) instrument. Each sample was measured twice, and the mean value was used for statistical analysis. The minimum detectable concentrations of IL-1β, IL-4, IL-5, IL-6, IL-9, IL-10, IL-13, IL-17A,and IL-33 and TGF-β1 in the serum were 3.12 pg/ml, 13.10 pg/ml, 4.08 pg/ml, 1.34 pg/ml, 6.17 pg/ml, 2.16 pg/ml,3.99 pg/ml, 9.21 pg/ml, 0.68 pg/ml, and 6.12 pg/ml, respectively.
Statistical analysis
Statistical analysis was performed with Stata 7.0 (Stata Corp, College Station, TX, USA) software. The skewed data were expressed as medians (M, 25th-75th percentile), and comparison between the two groups was performed using the two-tailed Mann-Whitney U test and Kruskal-Wallis test. The normal distribution of data was presented as the mean ±standard deviation (X– ±S),and the statistical significance between the two groups was compared using the Student’s t-test. Linear correlations were calculated by Spearman coefficients.Thevalue p < 0.05 was considered to be statistically significant.
Results
Wheezing infants displayed an increased Th9 cell population
First, we analyzed the percentage of Th9 cells in the peripheral blood of a young pediatric population by gating for the CD4+ T cell population (Figs. 1A-1C). Infants with wheezing showed higher percentages of Th9 cells (median, 0.69%; range, 0.46-1.08%) as compared to healthy infants (median, 0.25%; range, 0.13-0.36%; p < 0.05; Fig. 1C).
Fig. 1
Analysis of the Th9 cell population. Peripheral blood samples from wheezing infants and controls were stained and then analyzed by flow cytometry. (A) Plot showing CD4+ T cells on gated CD3+ lymphocytes. (B) Plot showing IL-9 expression on gated CD3+CD4+ lymphocytes. (C) Percentages of Th9 cells among CD4+ T cells from healthy controls and wheezing infants. (D) RT-PCR analysis of PU.1 and IRF4 mRNA expression in PBMCs from wheezing infants and healthy controls. (E) Correlation analysis between the percentage of Th9 cells and the PU.1 mRNA expression in PBMCs from wheezing patients. (F) Correlation analysis between the percentage of Th9 cells and the IRF4 mRNA expression in PBMCs from wheezing patients. Box plots represent the median (25th-75th percentile), and dots represent outliers. Statistical significance was determined by the Kruskal-Wallis test. r denotes Spearman’s correlation coefficient, and a p value less than 0.05 represents statistical significance

Next, we assessed the levels of PU.1 and IRF4 mRNA expression in PBMCs by RT-PCR. The expression levels of both of these transcription factors were significantly higher in wheezing patients than in healthy infants (p < 0.05; Fig. 1D). In addition, we observed a positive correlation between the percentage of Th9 cells and PU.1 mRNA (r = 0.449, p < 0.05; Fig. 1E) as well as IRF4 mRNA (r = 0.429, p < 0.05; Fig. 1F) levels in wheezing patients.
Altered levels of circulating Th9- and Th2-related cytokines in wheezing patients
As cytokines affect Th9 cell differentiation and function, we assessed the plasma concentrations of cytokines IL-1β, IL-4, IL-9, IL-17A, and IL-33 and TGF-β1. Higher levels of IL-4, IL-9, and IL-33 and TGF-β1 were observed in wheezing infants, compared to healthy controls (p <0.05; Figs. 2A-1D). However, there were no significant differences in the IL-1β and IL-17A levels between the two groups (p > 0.05; Figs. 2E and 2F). Adults with asthma are typically characterized by Th2 cytokines, such as IL-4, IL-5, and IL-13 [15]; however, our analysis did not show any difference in the IL-5 and IL-13 levels between the wheezing and control groups (p > 0.05; Figs. 3A and 3B). Moreover, as wheezing is caused by airway inflammation, we also measured the levels of the proinflammatory cytokine IL-6 and the anti-inflammatory cytokine IL-10. Surprisingly, we observed that wheezing infants had significantly higher levels of IL-10 and lower levels of IL-6 as compared to healthy controls (p < 0.05; Figs. 3C and 3D).
Fig. 2
Comparative analysis of Th9-related cytokines in wheezing infants and control group. Plasma levels of the Th9-related cytokines IL-9, TGF-β1, IL-4, IL-33, IL-1β, and IL-17A were analyzed by a Luminex 200 immunoassay. Box plots represent the median (25th-75th percentile), and dots represent outliers. Statistical significance was determined by the Kruskal-Wallis test, and p < 0.05 represents statistical significance

Fig. 3
Comparative analysis of Th2-related cytokines in wheezing infants and control group. Plasma levels of the Th2-related cytokines IL-5 and IL-13, the inflammatory mediator IL-6, and the anti-inflammatory cytokine IL-10 were analyzed by a Luminex 200 immunoassay. Box plots represent the median (25th-75th percentile), and dots represent outliers. Statistical significance was determined by the Kruskal-Wallis test, and p < 0.05 represents statistical significance

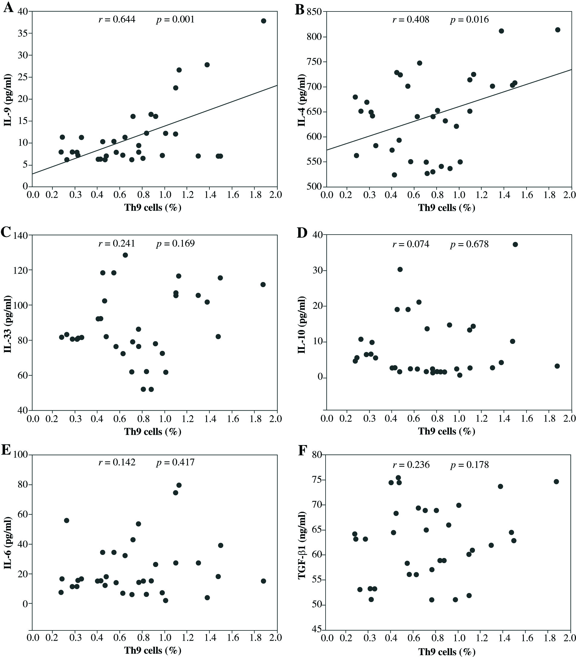
Correlation between Th9 cells and plasma levels of cytokines IL-4 and IL-9 in wheezing patients
To further explore the possible role of cytokines in Th9 cell differentiation, we investigated the correlation between the percentage of Th9 cells and the concentrations of cytokines IL-4, IL-6, IL-9, IL-10, and IL-33 and TGF-β1 in the plasma of wheezing patients. We detected a positive correlation between the percentage of Th9 cells and the concentrations of IL-9 (r = 0.644, p< 0.05; Fig. 4A) and IL-4 (r = 0.408, p< 0.05; Fig. 4B) in the plasma. However, we did not observe any correlation of Th9 cells with the concentrations of IL-6, IL-10, or IL-33, or TGF-β1 (p> 0.05; Figs. 4C-4F).
Fig. 4
Relationship between plasma cytokines and Th9 cells in wheezing infants. Panels A-F show the correlation between Th9 cells and the plasma levels of IL-9, IL-4, IL-33, IL-10, IL-6, and TGF-β1 in infants with wheezing. r denotes Spearman’s correlation coefficient, and a p value less than 0.05 represents statistical significance

Discussion
This study revealed several novel findings. First, the percentage of Th9 cells was significantly higher in the peripheral blood of infants with recurrent wheezing, compared to healthy controls. In addition, we observed a positive correlation of Th9 cells with PU.1 mRNA and IL-9 levels in wheezing infants. These observations were consistent because Th9 cells have been shown to regulate IL-9 production through the transcription factor PU.1. Second, infants with recurrent wheezing exhibited higher circulating levels of Th9-related cytokines such as IL-4, and IL-33; TGF-β1 and these cytokines play an important role in Th9 cell differentiation. Finally, we also observed surprisingly lower levels of the proinflammatory cytokine IL-6 and higher levels of the anti-inflammatory cytokine IL-10 in the wheezing infants.
Several studies have demonstrated the association between an increased risk of early persistent wheezing and allergic sensitization [16, 17]. Our data revealed that wheezing infants had increased proportions of Th9 cells as well as higher levels of PU.1 and IRF4 mRNA along with IL-9 protein in the peripheral blood, compared to healthy infants. These results indicated that Th9 cells are also altered in wheezing infants, just like in adults with allergic asthma [8, 9]. Although IL-9 has been shown to be produced by several other cell types, including type 2 cytokine-producing innate lymphoid cells, eosinophils, and mast cells [18], in our study, we found a positive correlation of IL-9 production with Th9 cell percentages. We therefore speculate that, in wheezing infants, Th9 cells are the main source of IL-9.
Additionally, an association between plasma TGF-β1 and IL-4 levels, and the risk of asthma in children has also been reported [19, 20]. Consistent with this finding, we also noticed significantly higher levels of TGF-β1 and IL-4 in the plasma of infants in the wheezing group, compared to the healthy group. These cytokines may account for the increased Th9 differentiation. In addition, IL-33 has been implicated in Th9 cell differentiation as well as in exacerbating asthma in children [13, 21]. Our data confirmed this report, as we also observed higher concentration of IL-33 in infants with wheezing. Interestingly, IL-33 is reported to be a corticosteroid-resistant mediator of severe asthma in children [22]. On the other hand, IL-1β has been shown to induce Th9 differentiation [14]; however, in our study, we did not see any difference in IL-1β levels between infants with wheezing and controls.
IL-9, through induction of the JAK1 pathway, can also stimulate the proliferation of Th17 cells [23], and Th17 cytokines such as IL-17A-F are believed to be critical for airway hyper-responsiveness [24]. However, in our study, the levels of IL-17 were similar between wheezing and healthy infants. One tentative explanation could be the presence of lower levels of IL-6 in wheezing infants, which happens to be a key cytokine for Th17 cell differentiation. In addition, we observed higher levels of the anti-inflammatory factor IL-10 in wheezing infants, which is consistent with previously published reports [25, 26]. The study by Burgess et al. has shown that elevated serum levels of IL-10 in early life predict increased numbers of wheezing episodes [26]. However, the reason for the lower levels of IL-6 and the higher levels of IL-10 in wheezing infants is not very clear; it has been speculated that asthma in preschool children are often associated with respiratory virus infections, which may result in a higher level of IL-10 during disease onset [27, 28]. An alternative explanation is based on the “hygiene hypothesis,” which suggests that the absence of infections in early life may lead to an increased risk of developing asthma [29].
In addition, Th2 cell cytokines such as IL-4, IL-5, and IL-13 have been shown to play key roles in adult asthma [29]. IL-4 influences Th2 cell polarization, while IL-5 is predominantly involved in eosinophil differentiation and function. Furthermore, IL-13 is critical for mucous secretion and airway hyper-responsiveness [29]. Our study observed similar levels of IL-5 and IL-13 between wheezing infants and controls. The dominance of the Th2 profile in children with asthma has been controversial as therapy targeting IL-5 has been demonstrated to be very effective in adults only, while its effectiveness is uncertain in children with asthma [30]. Moreover, the serum levels of IL-5 have been shown to be significantly correlated with age and were lower in acute asthma patients younger than 3-years-old than among those older than 3-years-old [31]. Thus, Th9 cells may have a greater functional role in infants with recurrent wheezing.
However, there are several limitations in this study. First, the sample sizes of infants with recurrent wheezing and healthy controls were relatively small. Second, recurrent wheezing is also related to environmental exposures, but our samples were primarily collected in the winter season [4]. It is presumed that allergen exposure, pollution, and infection have different effects on infants with wheezing at different ages and are accompanied by different clinical phenotypes [3]. Thus, in future studies, we intend to investigate the effect of Th9 cells underlying each of these precipitating factors.
Conclusions
Our study demonstrated that the percentage of Th9 cells in the peripheral blood of infants with recurrent wheezing was significantly higher than that in healthy controls. Furthermore, infants with wheezing exhibited higher levels of the circulating Th9-related cytokines TGF-β1,IL-4, and IL-33. Overall, our data indicate that a larger proportion of Th9 cells may play a role in the pathogenesis of recurrent wheezing in infants.